Dome Sweet Dome
Please Log In for full access to the web site.
Note that this link will take you to an external site (https://shimmer.mit.edu) to authenticate, and then you will be redirected back to this page.
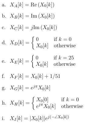
Ben Bitdiddle created a signal x_0[n] representing the MIT dome, but he only saved the DTFS coefficients X_0[k] (and not the original signal). However, he knew that one period of the original signal (which is periodic in N=51) looked like this:

Ben tried several different methods of recovering the original image based on X_0[k], by applying the DTFS synthesis equation to the following sets of coefficients.
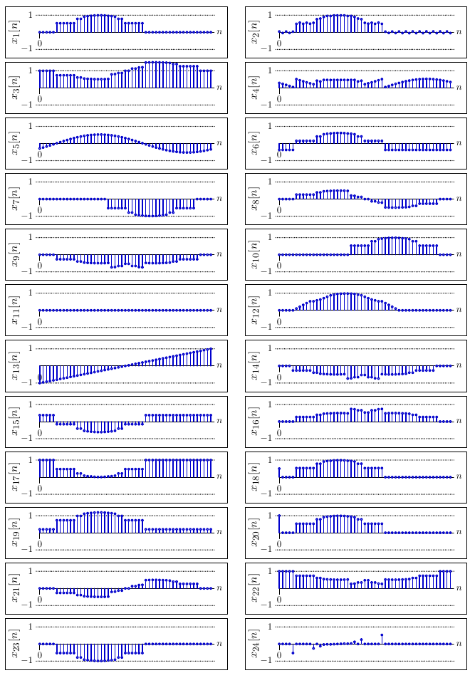
For each set of Fourier coefficients described below (X_A through X_I), determine the corresponding signal from the 24 options shown on the next page (x_1 through x_{24}).
Assume that all 24 of those signals are purely real and are periodic in N=51. If the required signal would be complex-valued, record your answer as "must be complex." Otherwise, write the name of the signal from the following page.

Ben's Graphs:

Your most recent submission before the problem deadline is the one that will be graded.